Kunci Jawaban Matematika Kelas 10 Semester 1 Kurikulum Merdeka Halaman 111 112 113, Eksplorasi 4.1
Ngurah Adi Kusuma February 07, 2026 12:03 AM

TRIBUN-BALI.COM, DENPASAR – Apa kalian sudah siap belajar? Inilah, kunci jawaban Matematika kelas 10 Semester 1 Kurikulum Merdeka halaman 111 112 113, tentang Eksplorasi 4.1.

Kali ini kita akan membahas soal pada bab ke 4 yang berjudul Sistem Persamaan dan Pertidaksamaan Linear pada kegiatan siswa Eksplorasi 4.1 tentang menimbang bola yang ada di sekolah.

Kunci jawaban di bawah ini diharapkan bisa membantu siswa sebagai alternatif jawaban untuk menyelesaikan soal pada halaman 111 112 113 di buku siswa Matematika Kelas 10 SMA.

Berikut kunci jawaban dan pembahasan soal Matematika kelas 10 Semester 1 Kurikulum Merdeka halaman 111 112 113 sesuai dengan buku siswa Matematika edisi tahun 2023.

Baca juga: Kunci Jawaban Matematika Vol 2 Kelas 4 Halaman 38 dan 40 Kurikulum Merdeka: Bilangan Desimal

(Update Kunci Jawaban)

Kunci Jawaban Matematika Kelas 10 Semester 1 Kurikulum Merdeka Halaman 111 112 113

Eksplorasi 4.1

Menimbang Bola yang Ada di Sekolah

Ayo, Bereksplorasi

Kinan menimbang bola yang ada di lemari sekolah. Pada penimbangan pertama, Kinan menimbang dua bola basket, sebuah bola kaki, dan tiga bola voli dan hasilnya 2.500 g.

Penimbangan kedua, sebuah bola basket, dua buah bola kaki, dan dua buah bola voli beratnya 2.050 g. Penimbangan ketiga, dua buah bola basket dan sebuah bola voli beratnya 1.550 g.

Berapa berat tiap jenis bola?

1. Apakah di sekolahmu terdapat bola-bola yang sama dengan yang ada di sekolah Kinan? Jika ada, lakukan penimbangan seperti yang Kinan lakukan.

Jika tidak ada, kamu dapat menggunakan bola/benda lain yang tersedia. Bola/benda yang digunakan:

Jawaban:

Bola basket, bola kaki, dan bola voli.

Baca juga: Kunci Jawaban Matematika Vol 2 Kelas 4 Halaman 29 dan 30 Kurikulum Merdeka: Persegi

2. Pilih variabel untuk menyatakan nilai yang akan dicari.

Jawaban:

a. x : berat bola basket

b. y : berat bola kaki

c. z : berat bola voli

3. Setiap penimbangan menghasilkan sebuah persamaan linear. Tuliskan persamaan-persamaan linear yang kamu dapatkan.

a. Penimbangan pertama: dua bola basket, sebuah bola kaki, dan tiga bola voli seberat 2.500 g (sesuaikan dengan bola/benda yang digunakan dan hasil penimbanganmu).

Jawaban:

2x + y + 3z = 2.500

x + 2y + 2z = 2050

2x + z = 1550

4. Gabungan persamaan linear (1), (2), dan (3) disebut sistem persamaan linear.

Jawaban:

2x + y + 3z = 2500

x + 2y + 2z = 2050

2x + z = 1550

Baca juga: Kunci Jawaban Matematika Kelas 10 Semester 1 Kurikulum Merdeka Halaman 98, Eksplorasi 3.3

5. Perhatikan bahwa persamaan (3) hanya memiliki variabel x dan z, tetapi sistem persamaan linear pada no. 4 tetaplah dianggap sebagai sistem persamaan linear dengan tiga variabel.

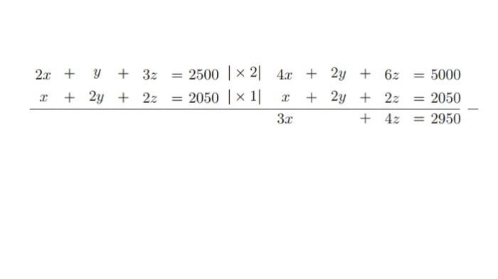
Bagaimana mengubah persamaan (1) dan (2) menjadi sebuah persamaan linear dengan dua variabel (juga x dan z)? Persamaan yang dihasilkan:

Jawaban:

Eliminasi variabel y dari persamaan (1) dan (2) didapat

Kunci Jawaban Matematika Kelas 10 Kurikulum Merdeka Halaman 111 112 113 jawaban 5
Kunci Jawaban Matematika Kelas 10 Kurikulum Merdeka Halaman 111 112 113 jawaban 5 (Istimewa)

6. Persamaan (3) dan (4) menghasilkan sistem persamaan linear dengan dua variabel. Selesaikan.

Jawaban:

Sistem persamaan linear dengan dua variabel

Kunci Jawaban Matematika Kelas 10 Kurikulum Merdeka Halaman 111 112 113 jawaban 6
Kunci Jawaban Matematika Kelas 10 Kurikulum Merdeka Halaman 111 112 113 jawaban 6 (Istimewa)

7. Substitusi nilai x dan z ke dalam persamaan (1) atau (2) untuk mendapatkan nilai y.

Jawaban:

Solusinya adalah x = 650, y = 450, dan z = 250. Berat bola basket 650 g, berat bola kaki 450 g, dan berat bola voli 250 g.

8. Periksalah, apakah hasil perhitunganmu sesuai dengan kenyataan.

Timbanglah bola/benda satu per satu, dan tuliskan hasilnya pada tabel.

Jawaban:

Tidak selalu sama mungkin karena beberapa kemungkinan penyebab perbedaan:

• Kesalahan saat penimbangan

• Kesalahan penghitungan

• Benda yang sejenis beratnya berbeda

9. Solusi/penyelesaian adalah nilai yang memenuhi semua persamaan.

Benarkah solusi yang kamu dapatkan memenuhi semua persamaan awal?

Jawaban:

Substitusi masing-masing nilai ke sistem persamaan linear awal menghasilkan kalimat yang benar.

10. Ayo, Berpikir Kreatif

Apakah kamu dapat memikirkan cara yang berbeda untuk menyelesaikan permasalahan ini? Apakah hasilnya sama atau berbeda?

Jawaban:

Cara yang berbeda akan menghasilkan jawaban yang sama karena permasalahannya memang sama. Baik metode eliminasi maupun substitusi dapat digunakan (mungkin juga metode lain)

11. Ayo, Berpikir Kritis

Mengapa Kinan melakukan tiga kali penimbangan? Apa yang terjadi jika penimbangan dilakukan dua kali? Bagaimana kalau lebih dari tiga kali?

Jawaban:

Dibutuhkan 3 persamaan untuk membentuk sistem persamaan linear dengan 3 variabel. (Demikian pula dibutuhkan 4 persamaan untuk membentuk sistem persamaan linear dengan 4 variabel).

12. Kamu telah mengenal metode eliminasi dan substitusi untuk menyelesaikan sistem persamaan linear dengan dua variabel.

Pada langkah (5) kamu mengeliminasi variabel y untuk mendapatkan sistem persamaan linear dengan dua variabel.

Ayo, Berpikir Kritis

Mengapa variabel y yang dieliminasi?

Jawaban:

Karena persamaan ketiga tidak mengandung variabel y.

13. Ayo, Berpikir Kritis

Apakah sistem persamaan linear dapat diselesaikan dengan mengeliminasi variabel selain y? Apa perbedaannya?

Jawaban:

Dapat. Solusi yang didapatkan akan sama. Prosesnya akan lebih panjang (diperlukan 2 proses eliminasi untuk mendapatkan sistem persamaan linear dengan dua variabel).

Keterangan: (") berarti pangkat, (/) berarti per atau se per, (√) akar dari, (*) berarti derajat

Demikian kunci jawaban Matematika kelas 10 Semester 1 Kurikulum Merdeka halaman 111 112 113, kegiatan siswa Eksplorasi 4.1 sesuai dengan Kurikulum Merdeka edisi 2023.

Disclaimer

Kunci jawaban diatas bersifat alternatif jawaban sehingga para siswa bisa memberikan eksplorasi jawaban lain.

Kunci jawaban soal diatas bisa saja berbeda sesuai dengan pemahaman tenaga pengajar atau murid. (*)

© Copyright @2026 LIDEA. All Rights Reserved.