Kunci Jawaban Matematika Kelas 10 Semester 1 Kurikulum Merdeka Halaman 68, Uji Kompetensi Bab 2
February 03, 2026 11:03 PM

TRIBUN-BALI.COM, DENPASAR – Apa kalian sudah siap? Berikut ini, kunci jawaban Matematika kelas 10 Semester 1 Kurikulum Merdeka halaman 68, tentang Uji Kompetensi Bab 2.

Kali ini kita akan membahas soal pada bab ke 2 yang berjudul Barisan dan Deret pada kegiatan siswa Uji Kompetensi Bab 2 tentang menentukan suku pertama dari deret aritmatika.

Kunci jawaban di bawah ini diharapkan bisa membantu siswa sebagai alternatif jawaban untuk menyelesaikan soal pada halaman 68 di buku siswa Matematika Kelas 10 SMA.

Berikut kunci jawaban dan pembahasan soal Matematika kelas 10 Semester 1 Kurikulum Merdeka halaman 68 sesuai dengan buku siswa Matematika edisi tahun 2023.

Baca juga: Kunci Jawaban Matematika Vol 2 Kelas 4 Halaman 14 15 Kurikulum Merdeka: Ayo Berhitung

(Update Kunci Jawaban)

Kunci Jawaban Matematika Kelas 10 Semester 1 Kurikulum Merdeka Halaman 68

Uji Kompetensi Bab 2

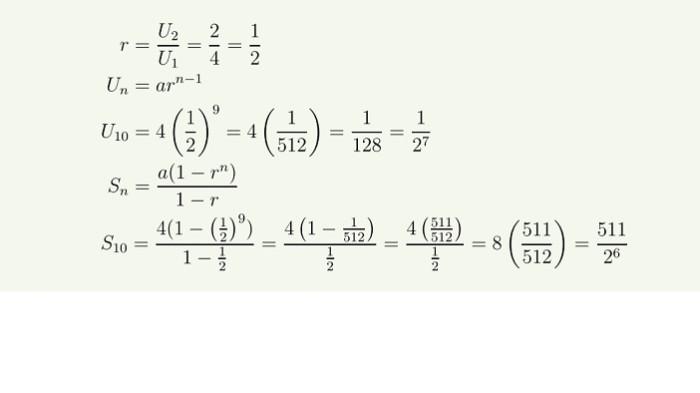
1. Tentukan suku ke-10 dan jumlah 10 suku pertama dari deret berikut.

a. 4 + 2 + 1 + …

Jawaban:

U1 = a = 4

U10 dan S10 = …

Alternatif penyelesaian:

Kunci Jawaban Matematika Kelas 10 Kurikulum Merdeka Halaman 68 jawaban 1a
Kunci Jawaban Matematika Kelas 10 Kurikulum Merdeka Halaman 68 jawaban 1a (Istimewa)

Jadi, suku ke-10 dan jumlah 10 suku pertama dari deret tersebut berturut-turut adalah dan 1/2"7 dan 511/2"6

Baca juga: Kunci Jawaban Matematika Vol 2 Kelas 4 Halaman 12 13 Kurikulum Merdeka: Perhitungan Bilangan Asli

b. 4 + 1 + (-2) + …

Jawaban:

U1 = a = 4

U10 dan S10 = …

b = U2 - U1 = 1 - 4 = -3

U10 = a + 9b = 4 + 9(-3) = 4 - 27 = -23

S10 = 10/2 (a + U10) = 5(4 + (-23)) = 5(-19) = -95

Jadi, suku ke-10 dan jumlah 10 suku pertama dari deret tersebut berturut-turut adalah -23 dan -95

2. Tentukan suku ke-9 barisan aritmetika, jika diketahui jumlah dari suku ke-2, suku ke-5, dan suku-20 adalah 54.

Jawaban:

U2 + U5 + U20 = 54

U9 = …

Alternatif penyelesaian:

U2 + U5+ U20 = 54

(a + b) + (a + 4b) + (a + 19b) = 54

3a + 24b = 54

3(a + 8b) = 54

a + 8b = 18

U9 = a+8b = 18

Jadi, suku ke-9 barisan aritmetika tersebut adalah 18.

Baca juga: Kunci Jawaban Matematika Kelas 10 Semester 1 Kurikulum Merdeka Halaman 66 67, Latihan 2.6

3. Sebuah pipa dipotong menjadi 5 bagian. Panjang setiap bagian membentuk barisan geometri.

Jika potongan pipa terpendek sepanjang 4 cm, dan potongan pipa terpanjang adalah 324 cm, maka tentukan panjang pipa semula.

Jawaban:

U1 = 4

U5 = 324

U1 + U2+ U3 + U4+ U5 = S5 = …

Alternatif penyelesaian:

Kunci Jawaban Matematika Kelas 10 Kurikulum Merdeka Halaman 68 jawaban 3
Kunci Jawaban Matematika Kelas 10 Kurikulum Merdeka Halaman 68 jawaban 3 (Istimewa)

Jadi, panjang pipa semula adalah 484 cm.

4. Pada suatu ruang pertemuan, jumlah kursi pada baris tertentu lebih banyak 2 kursi dari baris sebelumnya.

Perbandingan banyak kursi pada baris ke-5 dan baris ke-13 adalah 1 : 2. Baris terakhir terisi 50 kursi.

Berapa total kursi pada ruang pertemuan tersebut?

Jawaban:

b = 2

U5 = a + 4b = a + 8

U13 = a + 12b = a + 24

a + 8 / a + 24 = 1/2

2a + 16 = a + 24

a = 8

Un = 50

a + (n − 1)b = 50

8 + 2(n − 1) = 50

2(n − 1) = 42

n − 1 = 21

n = 22

Sn + n/2 (a + Un)

Sn = 22/2 (8 + 50)

Sn = 11 x 58 = 638

5. Tentukan jumlah deret geometri tak hingga 1/2 + 1/xy + 1/xy"2 + ..., ..., jika diketahui x+y/xy = 1.

Jawaban:

x+y/xy = 1

xy = x + y

Dari deret geometri tak hingga di atas, dapat diketahui bahwa:

Kunci Jawaban Matematika Kelas 10 Kurikulum Merdeka Halaman 68 jawaban 5
Kunci Jawaban Matematika Kelas 10 Kurikulum Merdeka Halaman 68 jawaban 5 (Istimewa)

Keterangan: (") berarti pangkat, (/) berarti per atau se per, (√) akar dari

Demikian kunci jawaban Matematika kelas 10 Semester 1 Kurikulum Merdeka halaman 68, kegiatan siswa Uji Kompetensi Bab 2 sesuai dengan Kurikulum Merdeka edisi 2023.

Disclaimer

Kunci jawaban diatas bersifat alternatif jawaban sehingga para siswa bisa memberikan eksplorasi jawaban lain.

Kunci jawaban soal diatas bisa saja berbeda sesuai dengan pemahaman tenaga pengajar atau murid. (*)

© Copyright @2026 LIDEA. All Rights Reserved.