Kunci Jawaban Matematika Kelas 10 Semester 1 Kurikulum Merdeka Halaman 9 10, Latihan 2.1
January 24, 2026 08:03 PM

TRIBUN-BALI.COM, DENPASAR – Apa kalian sudah siap? Berikut ini, kunci jawaban Matematika kelas 10 Semester 1 Kurikulum Merdeka halaman 9 10, tentang Latihan 2.1.

Kali ini kita akan membahas soal pada bab ke 1 yang berjudul Eksponen pada kegiatan siswa Latihan 2.1 tentang membuktikan sifat eksponen.

Kunci jawaban di bawah ini diharapkan bisa membantu siswa sebagai alternatif jawaban untuk menyelesaikan soal pada halaman 9 10 di buku siswa Matematika Kelas 10 SMA.

Berikut kunci jawaban dan pembahasan soal Matematika kelas 10 Semester 1 Kurikulum Merdeka halaman 9 10 sesuai dengan buku siswa Matematika edisi tahun 2023.

Baca juga: Kunci Jawaban Matematika Vol 2 Kelas 4 Halaman 15 Kurikulum Merdeka: Latihan

(Update Kunci Jawaban)

Kunci Jawaban Matematika Kelas 10 Semester 1 Kurikulum Merdeka Halaman 9 10

Latihan 2.1

1. Buktikan sifat eksponen nomor 6 dan 7.

Jawaban:

Kunci Jawaban Matematika Kelas 10 Kurikulum Merdeka Halaman 9 10 jawaban 1
Kunci Jawaban Matematika Kelas 10 Kurikulum Merdeka Halaman 9 10 jawaban 1 (Istimewa)

2. Tentukan nilai p sedemikian sehingga persamaan berikut ini tepat

a. ­(3"4)"‑2 = 3"p

Jawaban:

(3"4)"2 = 3"8

Baca juga: Kunci Jawaban Matematika Vol 2 Kelas 4 Halaman 6 7 Kurikulum Merdeka: Kalimat Matematika

b. b"p · b"5 = 3"9

Jawaban:

b"4.b"5 = b"9

c. (3π)"p = 27π"3

Jawaban:

(3π)"3 = 27π"3

Baca juga: Kunci Jawaban Matematika Kelas 10 Kurikulum Merdeka Halaman 267 268, Pengayaan: Jarum Buffon

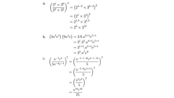
3. Sederhanakanlah

Kunci Jawaban Matematika Kelas 10 Kurikulum Merdeka Halaman 9 10 1
Kunci Jawaban Matematika Kelas 10 Kurikulum Merdeka Halaman 9 10 1 (Istimewa)

Jawaban

Kunci Jawaban Matematika Kelas 10 Kurikulum Merdeka Halaman 9 10 jawaban 3
Kunci Jawaban Matematika Kelas 10 Kurikulum Merdeka Halaman 9 10 jawaban 3 (Istimewa)

Keterangan: (/) berarti per atau se per; (") berarti pangkat

Demikian kunci jawaban Matematika kelas 10 Semester 1 Kurikulum Merdeka halaman 9 10, kegiatan siswa Latihan 2.1 sesuai dengan Kurikulum Merdeka edisi 2023.

Disclaimer

Kunci jawaban diatas bersifat alternatif jawaban sehingga para siswa bisa memberikan eksplorasi jawaban lain.

Kunci jawaban soal diatas bisa saja berbeda sesuai dengan pemahaman tenaga pengajar atau murid. (*)

© Copyright @2026 LIDEA. All Rights Reserved.